• 当前位置 当前位置:首页 > 色谱图库 > 热点应用
    热点应用 热点应用
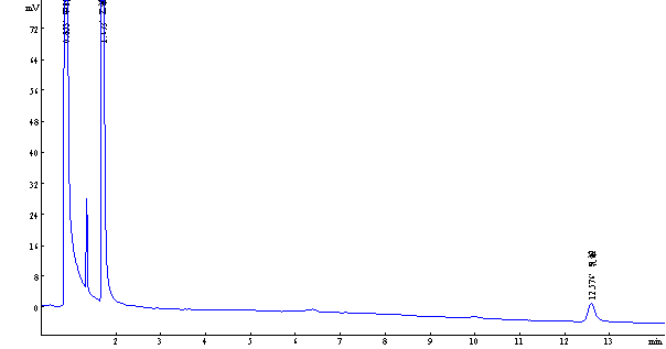
    • 不同饮料中咖啡因的测定
      不同饮料中咖啡因的测定

      咖啡因是一种黄嘌呤生物碱化合物,是一种中枢神经兴奋剂,能够暂时的驱走睡意并恢复精力。有咖啡因成分的咖啡、茶、软饮料及能量饮料十分畅销,因此,咖啡因也是世界上最普遍被使用的精神药品。很多咖啡因的自然来源也含有多种其他的黄嘌呤生物碱,包括强心剂茶……

      详情
    • 硝基苯专用柱
      硝基苯专用柱

      固定液:ZKAT-.硝基苯专用柱 柱长:30m 内径:0.32mm 膜厚:0.33um色谱柱条件:柱 温:150 ℃ (8min)to 260℃ (10min) at 10 ℃/min汽化温度:250 ℃ 检测温度:280 ℃1 、乙醇 2、n n-二甲基苯胺 3、 n-甲基苯胺 4 、邻硝基苯胺5 、间硝基苯胺 6 、对硝基苯胺……

      详情
    • 四氢噻吩酮
      四氢噻吩酮

      1.固定液:AE.PONA 2.规格:柱长:50m 内径:0.20mm 膜厚:0.5um3.色谱条件:柱 温:130 ℃ (10min)to 250 ℃ at 10℃ /min4.样品:四氢噻吩酮

      详情
    • 变压器油
      变压器油

      固定液:AE. 变压器油色谱柱条件: 柱 温:60 ℃ 汽化温度:120 ℃ 检测温度:150 ℃1 .h2 2. o2+co 3. ch45. c2h4 6. c2h6 7.c2h2

      详情
    • 13甲基丁醇、22甲基丁醇
      13甲基丁醇、22甲基丁醇

      1.固定液:AE.SE-30 2.规 格:柱长:50 m 内径:0.20mm 膜厚:0.50um3.柱 温:90 ℃ 汽化温度:250 ℃ 检测温度:300 ℃4.样品:1. 3-甲基丁醇、 2. 2-甲基丁醇1. 溶剂 2. 1. 3-甲基丁醇 3. 2. 2-甲基丁醇 2. 2-甲基丁醇 2. 2-甲基丁醇

      详情
    • 丙稀酸
      丙稀酸

      1.固定液:AE.FFAP 2.规 格:柱长:30m 内径:0.32mm 膜厚:0.5um3.色谱条件: 柱 温:160 ℃ 汽化温度:250 ℃ 检测温度:260 ℃4.样品:丙稀酸

      详情
    • 无水乙醇
      无水乙醇

      1.固定液: ZKAT-20M 2.规 格:柱长:30m 内径:0.25mm 膜厚:0.25um3.色谱条件: 柱 温:50 ℃ 汽化温度:220 ℃ 检测温度:220 ℃4. 样 品:无水乙醇1.乙酸乙酯 2. 甲醇 3.乙醇 4. 正丙醇 5. 异丁醇

      详情
    • 乙酸、乳酸
      乙酸、乳酸

      1.固定液:AE.FFAP 2.规 格:30m 内径:0.53mm 膜厚:1.0um3.色谱条件: 柱 温:150 ℃(5min) to 250℃ at 2℃/min 汽化温度:250 ℃ 检测温度:260 ℃4.样品:乙酸、2%, 乳酸、2%1. 甲醇 2. 乙酸 3. 乳酸

      详情
    • 动物油酸
      动物油酸

      1.固定液:AE.SE-30 2.规 格:20m×0.53mm×1.0μ3.柱 温:50℃ at 5℃ to 280℃(20) 汽化温度:290 ℃ 检测温度:300 ℃4. 样 品:动物油酸

      详情
    • 多糖
      多糖

      1. 固定液:AE.OV-1701 2.规 格:柱长:30m 内径:0.32mm 膜厚:0.5 um3. 色谱柱条件:柱 温:100 ℃(5min) to 280℃(10min)at 20℃/min 汽化温度:250 ℃ 检测温度:280 ℃4.样品:多糖1. 未知 2. 鼠李糖 3. 阿拉伯糖 4. 木糖 5. 甘露糖 6. 葡萄糖 7. 半乳……

      详情
    • 山梨酸+苯甲酸
      山梨酸+苯甲酸

      1.固定液:ZKAT-添加剂专用柱2.规格: 柱长:30m 内径:0.53mm 膜厚:1.0um3.色谱条件: 柱 温:120 ℃ 汽化温度:280 ℃ 检测温度:280 ℃4.样 品:山梨酸+苯甲酸1. 溶剂 2. 山梨酸 3. 苯甲酸

      详情
    • 卷烟条与盒包装纸中挥发性有机化合物
      卷烟条与盒包装纸中挥发性有机化合物

      1. 固定液:ZKAT-VOC专用柱2.规 格:柱长:30m 内径:0.25mm 膜厚:0.5 um3.色谱条件: 柱 温:40 ℃ (4min) to 150 ℃ at 3 ℃/min and to 200 (10min)at 15℃/min. 汽化温度:250 ℃ 检测温度:280 ℃4.样品:卷烟条与盒包装纸中挥发性有机化合物5.执行标准:……

      详情
    返回首页 网站首页 产品中心 产品中心 案例展示 色谱图库 拨打电话 公海555000
  • 网站地图